PLH L53 - Description
En bref
Quel est le principal avantage du PLH L53 (Periodic Laser Heating) ?
L’appareil PLH L53 (Periodic Laser Heating) , en plus de notre technologie éprouvée du Laser Flash (LFA), permet d’étendre la plage de mesure des instruments optiques non destructifs en termes d’épaisseur et de propriétés de transport de chaleur.
La caractérisation des matériaux micrométriques est aujourd’hui un sujet important en raison de la recherche et du développement en cours pour les nouvelles technologies, telles que les applications de batteries et d’hydrogène, et des efforts de miniaturisation.
En raison du rapport surface/volume important, ces types de matériaux doivent être étudiés séparément des matériaux en vrac, mais la préparation des échantillons et les mesures peuvent être très difficiles.
En plus de notre technologie éprouvée de flash laser, la structure PLH L53 nous permet d’étendre la plage de mesure de nos instruments optiques non destructifs en termes d’épaisseur et de propriétés de transport de chaleur.
Le PLH L53 a été conçu et optimisé pour mesurer des échantillons avec une grande précision sur une plage de mesure de 10 μm à 500 μm et un de la température de rectification-de 0,01 à 2 000 mm²/s.
Le système peut traiter une large gamme de matériaux. Il est possible de mesurer aussi bien des échantillons ayant un comportement semi-conducteur que des métaux, des céramiques ou des polymères. Les applications typiques sont les films autoportants et les membranes pour l’industrie des batteries et de l’hydrogène.

Periodic Laser Heating - Mode
Chauffage laser périodique à plan croisé
Comment fonctionne le PLH L53 (Periodic Laser Heating ) ?
Le système utilise un laser à diode pour chauffer périodiquement le dos d’un échantillon avec une lumière laser continue modulée en amplitude. Cette énergie est absorbée par l’échantillon et déclenche une onde thermique. L’onde thermique se propage à travers l’échantillon vers sa face avant, où l’énergie thermique initialement absorbée est émise. L’oscillation de température qui en résulte sur la face avant est enregistrée par un détecteur IR, comme le montre la figure ci-dessous.
En raison des propriétés de transport thermique de l’échantillon, un comportement caractéristique du déphasage et de l’amplitude du signal résultant peut être observé.
L’évaluation de la conductivité thermique, de la diffusivité thermique et de la capacité thermique spécifique du volume est effectuée à l’aide de notre logiciel Linseis complet. Le seul paramètre d’entrée requis est l’épaisseur de l’échantillon.

IL désigne la lumière laser modulée et IIR est le rayonnement infrarouge avec les amplitudes AL et AIR correspondantes et le déphasage Φ.

α = perméabilité thermique [m2/s]
L = hauteur de l’échantillon [m]
m = pente de la zone linéaire [√s]

Periodic Laser Heating - Mode
Chauffage laser périodique dans le plan

α =Transmission thermique [m²/s]
ω =Fréquence angulaire (2*π*f ) [1/s]
f = Fréquence de modulation [Hz]
m(Φ, amp) = Pente des deux courbes de mesure une fois selon la phase et
une fois selon l’amplitude [1/m]

En outre, le système est capable de mesurer la conductivité thermique dans le plan en utilisant une table de décalage horizontale tout en excitant simultanément l’échantillon avec une lumière laser continue modulée en amplitude.
En fonction de la conductivité thermique de l’échantillon dans le plan, on peut observer un comportement caractéristique du déphasage et de l’amplitude mesurés par rapport au décalage latéral entre le laser et le détecteur.
Cette méthodologie permet de comprendre la relation compliquée entre la conductivité thermique et la diffusivité, ce qui permet de faire des découvertes qui peuvent avoir un impact considérable sur la science des matériaux.
Des mesures précises dans le plan permettent d’identifier les goulots d’étranglement thermiques et de déterminer les solutions de conception optimales afin d’améliorer les performances et l’efficacité des technologies basées sur des matériaux anisotropes. L’évaluation de la conductivité thermique dans le plan peut être effectuée à l’aide de la suite logicielle complète de Linseis, sans avoir besoin de connaître d’autres paramètres d’entrée.

Analyse de l'anisotropie et de l'inhomogénéité
Anisotropie
La conductivité thermique du matériau peut être directionnelle. « In-plane » et « cross-plane » sont des termes qui décrivent deux directions de transport spécifiques au sein d’un matériau. Alors que « in-plane » signifie en fait que l’échantillon est perpendiculaire à la direction d’excitation, le terme « cross-plane » se réfère à la conductivité thermique de l’échantillon dans la direction d’excitation.
Les conductivités thermiques transversales et dans le plan peuvent varier considérablement, dépassant facilement plusieurs ordres de grandeur.
Les cas d’utilisation sont nombreux et les connaissances en la matière peuvent s’avérer essentielles dans diverses applications telles que les appareils électroniques, où la gestion de la chaleur est un défi omniprésent.
Inhomogénéité
Selon l’échantillon, la composition peut varier légèrement au sein de l’échantillon.
C’est généralement le cas des gels, des pâtes et des polymères, de sorte que ce changement se reflète également dans la conductivité thermique.
Les appareils LFA standard ignorent généralement ce fait et considèrent l’ensemble de l’échantillon en une seule fois alors qu’il est chauffé par l’impulsion lumineuse. Si vous êtes intéressé par ces différences, notre technique PLH est utilisée.
Contrairement au flash laser, l’échantillon n’est chauffé que localement et vous pouvez vérifier qu’il ne présente pas d’hétérogénéité.
Les variations de la conductivité thermique peuvent provoquer des points chauds qui affectent les performances et la durée de vie des appareils électroniques.
Assurer une répartition homogène de la conductivité thermique est essentiel pour une gestion efficace de la chaleur et pour éviter la surchauffe.
PLH L53 - Caractéristiques uniques

Plage de température
jusqu'à 300°C

Épaisseur de 10 µm à 500 µm

Robot multi-échantillons

Fonctionnement entièrement automatique
Service d'assistance téléphonique
+49 (0) 9287/880 0
Notre service est disponible du lundi au
jeudi de 8h à 16h
et vendredi de 8h à 12h.
Nous sommes là pour vous !
PLH L53- Spécifications
Les informations à retenir
MODELL | PLH L53 |
|---|---|
| Temperaturbereich: | RT bis 300°C |
| Aufheizrate: | 0,01 bis 20 °C/min |
| Probenabmessungen: | Ø 3, 5, 6, 8, 10, 12,7 oder 25,4 mm Quadratische 3x3, 5×5, 6x6, 10×10 oder 20×20 mm |
| Probenstärke: | 10 – 500 μm |
| Probenroboter: | Roboter mit 3 oder 6 Proben |
| Laserquelle: | CW-Diodenlaser bis zu 5 W Wellenlänge: 450 nm |
| Thermische Diffusivität: | 0,01 bis 2000 mm²/s (abhängig von der Dicke) |
| Genauigkeit: | ±5% |
| Wiederholbarkeit: | ±5% |
| Grundfläche: | 550 x 600 x 680 mm 21,6 x 23,6 x 26,7 Zoll |
| ASTM-Normen LFA: ASTM E-1461, DIN 30905 und DIN EN 821 ASTM-Normen PLH: JIS R 7240:2018 & ISO: 20007:2017 |
|
Solution combinée LFA + PLH
| Temperature range: | RT up to 300 °C, 500 °C, 1000 °C, 1250 °C, 1600 °C |
| Sample dimensions: | Ø 3, 6, 10, 12.7 or 25.4 mm Square 5×5, 10×10 or 20×20 mm |
| Sample robot: | Carousel with 3 or 6 samples |
| Sample thickness: | 10 to 6000 μm |
| Thermal transmittance: | from 0.01 to 2000 mm2/s (depending on thickness) |
| Accuracy: | ±5% |
| Reproducibility: | ±5% |
Porte-échantillons et supports
Échantillons inchangés en permanence
Débit le plus élevé du marché. La combinaison d’un robot d’échantillonnage et d’un four intégré permet des temps de traitement inégalés et des mesures entièrement automatisées pour jusqu’à 3 ou 6 échantillons. Différentes géométries de porte-échantillons et différents matériaux sont disponibles en fonction des besoins des échantillons.
Supports d'échantillons

6 échantillons ronds ou carrés
3 mm, 6 mm, 10 mm ou 12,7 mm

3 échantillons ronds
25,4 mm ou carrés 20 mm
Porte-échantillons

Porte-échantillons carré
Échantillons 3×3 mm2 / 10×10 mm2 / 20×20 mm2

Porte-échantillons rond
Échantillons 3mm / 10mm / 12,7mm / 25,4mm
Logiciel
Rendre les valeurs visibles et comparables
Généralités
- Nouveau design avec une meilleure convivialité
- Un logiciel réactif et personnalisable
- Lien direct vers le support en ligne
- Mises à jour périodiques du logiciel en ligne
- Évaluation en direct et post-traitement/évaluation
- Concepts de stockage avancés
- Exportation et importation de données en ASCII
- Mesures multi-méthodes (LFA, PLH)
- Exportation et importation de données au format ASCII
- Création de rapports personnalisés
- Périphérique Plug & Play
- Mises à jour faciles du firmware
- Gestion intelligente des erreurs
- Connexion des périphériques via USB ou LAN
- Contrôles de plausibilité avant la mesure
-
Logiciel d’évaluation
- Mise à jour du design
- Amélioration de la convivialité et de la flexibilité
- Interface Python pour vos propres plug-ins
- Combinaison de courbes provenant de différentes sources/appareils de mesure
Logiciel de mesure
- Saisie simple et conviviale des données de température
- Processus de mesure entièrement automatisé pour les mesures multi-échantillons
- Routine de mesure spécifique de la chaleur et de la conductivité thermique (référence requise)

Votre industrie
Application : Polytétrafluoroéthylène (PTFE) 100 µm
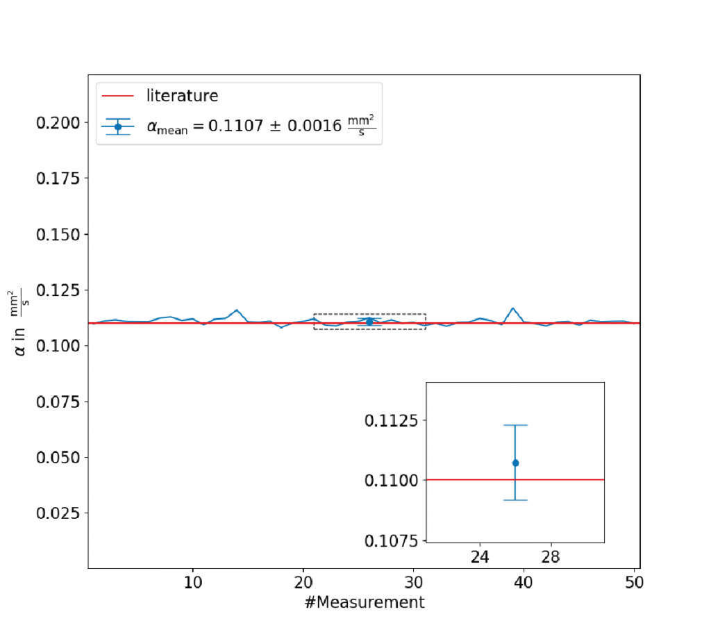
Pour le polytétrafluoroéthylène (PTFE) – un film polymère fin – plus connu sous le nom de téflon, la valeur de référence de la conductivité thermique pour le PTFE est de 0,11 mm²/s. Le téflon est utilisé comme revêtement pour les poêles afin que les aliments n’adhèrent pas à la poêle et soient faciles à nettoyer. L’épaisseur de ces revêtements varie de 30 µm à 150 µm.
La courbe de mesure sur la page représente le déphasage entre l’excitation et le rayonnement infrarouge et une sorte d’amplitude du rayonnement infrarouge par rapport à la racine carrée de la fréquence angulaire utilisée pour contrôler le laser. La pente de la partie linéaire de ces deux courbes permet de déterminer la conductivité thermique.
Application : Saphir 500 µm
Le saphir appartient à la catégorie des matériaux céramiques et a une valeur de diffusivité thermique de référence de 13,3 mm²/s. Nos mesures confirment cette valeur de diffusivité thermique avec une grande précision. En raison de ses excellentes propriétés thermiques et optiques, il est souvent utilisé en microélectronique pour les technologies laser et les LED.
La courbe de mesure ci-contre représente le déphasage entre l’excitation et le rayonnement infrarouge et une sorte d’amplitude du rayonnement infrarouge par rapport à la racine carrée de la fréquence angulaire utilisée pour piloter le laser. La pente de la partie linéaire de ces deux courbes permet de déterminer la conductivité thermique.
Application : cuivre 500 µm
Les feuilles de cuivre, en particulier celles dont l’épaisseur n’est que de 560 µm, sont largement utilisées dans l’industrie électronique comme diffuseurs de chaleur. Elles jouent un rôle crucial dans la dissipation de la chaleur dans les composants électroniques en assurant une distribution efficace de la chaleur, ce qui améliore les performances et la longévité des appareils. Leurs applications vont des appareils de tous les jours, tels que les smartphones et les ordinateurs portables, aux systèmes les plus sophistiqués utilisés dans l’aérospatiale. La valeur de référence pour ce motif est de 117 mm²/s.
La courbe de mesure ci-contre représente le déphasage entre l’excitation et le rayonnement infrarouge et une sorte d’amplitude du rayonnement infrarouge par rapport à la racine carrée de la fréquence angulaire utilisée pour piloter le laser. La pente de la partie linéaire de ces deux courbes permet de déterminer la conductivité thermique.
Exemple d’application : reproductibilité du PTFE 100 μm
La répétabilité d’une mesure de polytétrafluoroéthylène d’une épaisseur de 105,6 μm est excellente, à peine supérieure à 1 %. Cela confirme la méthode de mesure et sa haute performance.
Bien informé